-
오차 역전파법 -1Deep Learning/밑딥1 2021. 5. 15. 18:50728x90
수치미분 vs 연쇄법칙 + 미분공식
수치미분

수치미분 연쇄법칙 + 미분공식

연쇄법칙 + 미분공식 예제

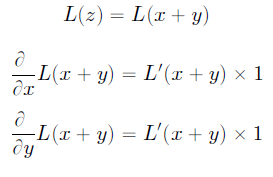
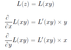
합성 
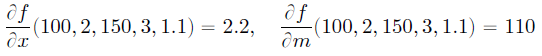
수치미분을 이용한 식:

연쇄 법칙 + 미분공식을 이용한 식:

오차 역전파법에서는 연쇄 법칙 + 미분 공식을 이용한다.
여기서 '역전파'라는 이름이 붙은 이유는 미분을 하는 순서가 합성함수를 취하는 순서의 역이기 때문!
(합성은 f -> g -> h 순서, 미분은 h -> g -> f 순서로 진행)
그래프

graph 계산 그래프 : 순전파
사과 개당 가격 : 100, 사과 개수: 2
귤 개당 가격: 150, 귤 개수: 3 소비세 : 10%
지불 금액 : (100 x 2 + 150 x 3) x 1.1 = 715

계산 그래프 : 순전파 계산 그래프 : 역전파
1로 출발해서 오른쪽에서 왼쪽으로 흘러간다.
곱셈노드 : 반대편 값을 엇갈려서 곱해서 흘려보낸다.
덧셈노드 : 그냥 흘려보낸다.

계산 그래프 : 역전파 역전파와 미분
사과 개당 가격 : x, 사과 개수 : m, 소비세 : t
귤 개당 가격: y, 귤 개수 : n, 소비세 : t
지불금액 : f(x,m,y,n,t) = (xm + yn)t





편미분의 결과와 그래프에 마지막에 나오는 값이 일치한다.
역전파의 결과는 각각의 변수를 기준으로 편미분한 결과라는 것을 알 수 있다.
덧셈 노드의 역전파


곱셈 노드의 역전파


파이썬 코드로 구현
위에서 살펴본 그래프 기반 역전파를 코드로 구현해보자.
먼저 곱셈노드의 역전파이다.
class MulLayer: def __init__(self): self.x = None self.y = None def forward(self, x, y): self.x = x self.y = y out = x * y return out def backward(self, dout): dx = dout * self.y dy = dout * self.x return dx, dyforward(순전파) 메서드는 입력값 x, y를 곱하여 x * y를 반환해준다.
backward(역전파) 메서드는 x로 편미분한 값 dx, y로 편미분한 값 dy를 구하여 반환해준다.
덧셈 노드의 역전파
class AddLayer: def __init(self): pass def forward(self, x, y): out = x + y return out def backward(self, dout): dx = dout * 1 dy = dout * 1 return dx, dyforward(순전파) 메서드는 입력값 x, y를 더하여 x + y를 반환해준다.
backward(역전파) 메서드는 x로 편미분한 값 dx, y로 편미분한 값 dy를 구하여 반환해준다.
위의 MulLayer, AddLayer를 이용하여 아래의 그래프를 코드로 구현해보자.

from layer_naive import * apple_num = 2 orange_num = 3 apple = 100 orange = 150 tax = 1.1 mul_apple_layer = MulLayer() mul_orange_layer = MulLayer() add_apple_orange_layer = AddLayer() mul_tax_layer = MulLayer() # forward apple_price = mul_apple_layer.forward(apple_num, apple) orange_price = mul_orange_layer.forward(orange_num, orange) total_price = add_apple_orange_layer.forward(apple_price, orange_price) price = mul_tax_layer.forward(total_price, tax) # backward dprice = 1 dtotal_price, dtax = mul_tax_layer.backward(dprice) dapple_price, dorange_price = add_apple_orange_layer.backward(dtotal_price) dapple, dapple_num = mul_apple_layer.backward(dapple_price) dorange, dorange_num = mul_apple_layer.backward(dorange_price) print("price:", int(price)) print("dApple:", dapple) print("dApple_num:", int(dapple_num)) print("dApple:", dorange) print("dApple_num:", int(dorange_num)) print("dTax:", dtax)이미지 출처 : https://drive.google.com/file/d/1UwEE_6f71RLA8DB5HGbflsXzxCWdqplD/view
728x90'Deep Learning > 밑딥1' 카테고리의 다른 글
합성곱 신경망 | 합성곱 (0) 2021.07.05 학습 관련 기술 : 가중치 초기값 (0) 2021.06.25 엔트로피 (0) 2021.05.07 인공 신경망 (0) 2021.05.05 퍼셉트론 (0) 2021.05.04