-
엔트로피Deep Learning/밑딥1 2021. 5. 7. 03:56728x90
엔트로피의 정의
불확실성을 나타내는 값


엔트로피
예제 1
동전을 던져
앞면이 나올 확률 : p
뒷면이 나올 확률 : 1-p
이때의 엔트로피 값은

p= 1/2 일 때, H(X) = 1
p= 1 일 때, H(x) = 0
무조건 앞면이 나온다는 뜻이므로
불확실성이 없다는 뜻!
예제 2
a, b, c, d가 적힌 카드 4장을 들고 있다
그 확률이다

엔트로피

기댓값
a 들고 있니? (질문 개수 : 1)
b 들고 있니? (질문 갯수 : 2)
c 들고 있니? or d 들고 있니? (질문 개수: 3)

엔트로피 = 기댓값
이유는 나중에 배운다는뎀..

p가 0, 1일 때, 즉 동전이 무조건 앞면 또는 뒷면이 나올 때,
불확실성(엔트로피) 값은 0이다
p가 1/2일 때, 불확실성(엔트로피) 값은 가장 커진다.
균등 분포일 때 엔트로피 값은 최대(1)가 된다.

조건부 엔트로피

조건부 엔트로피
예제 1


mutual information

'
예제 1

불확실성이 7/4 에서 Y를 앎으로 인해서 11/8로 줄어듦
Y가 X에대해 지닌 정보량이 3/8



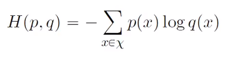
relative entropy

cross entropy

머신러닝에서는 relative, cross entropy 별 차이없다.
두 확률 분포가 얼마나 가깝냐 머냐를 말함
728x90'Deep Learning > 밑딥1' 카테고리의 다른 글
합성곱 신경망 | 합성곱 (0) 2021.07.05 학습 관련 기술 : 가중치 초기값 (0) 2021.06.25 오차 역전파법 -1 (0) 2021.05.15 인공 신경망 (0) 2021.05.05 퍼셉트론 (0) 2021.05.04